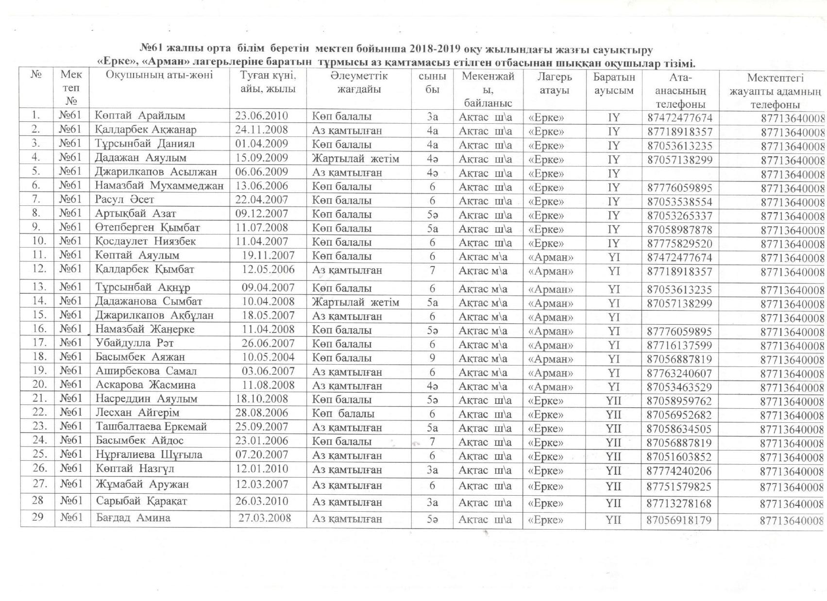
Жазғы сауықтыру легері 2018-2019 жыл » «N61 жалпы орта білім беретін мектеп» КММ
Шымкент қаласының білім басқармасының
«Әшімжан Ахметов» атындағы №61 жалпы орта білім беретін мектебі»
коммуналдық мемлекеттік мекемесі
Қабылдау бөлімі :
+7(707) 627-12-62
Есепші бөлімі:
+7(707) 627-12-62
Нашар көрушілер
нұсқасы
Прокомментировать
Введите код с картинки:* Кликните на изображение чтобы обновить код, если он неразборчив